郑州大学





河南大学







河南理工大学






河南工业大学
截止到2024年7月22日,河南省本科一批高招录取工作圆满完成。具体数据如下:
理工普通类录取2316人,最高分580,最低分541,投档线高出一本线30分。理工单列类录取1868人,最高分586,最低分541,高出一本线30分。文史类录取418人,最高分563,最低分540,高出一本线19分。


河南财经政法大学
截止7月22日,河南本科一批普通类录取结束,录取结果可查询。其中,文史类计划1227人,录取1246人,最低548分;理工类计划1001人,录取1024人,最低536分。
河南本科一批省级特色化示范性软件学院(仅理科)录取结束,录取结果可查询。其中,计划225人,录取225人,最低532分。
河南本科一批单列专业录取尚未结束,目前显示投档状态的考生可查询拟录取专业。
河南本科一批少数民族预科班录取结束,录取结果可查询。其中,文史类计划15人,录取15人,最低517分;理工类计划15人,录取15人,最低508分。
华北水利水电大学

河南中医药大学
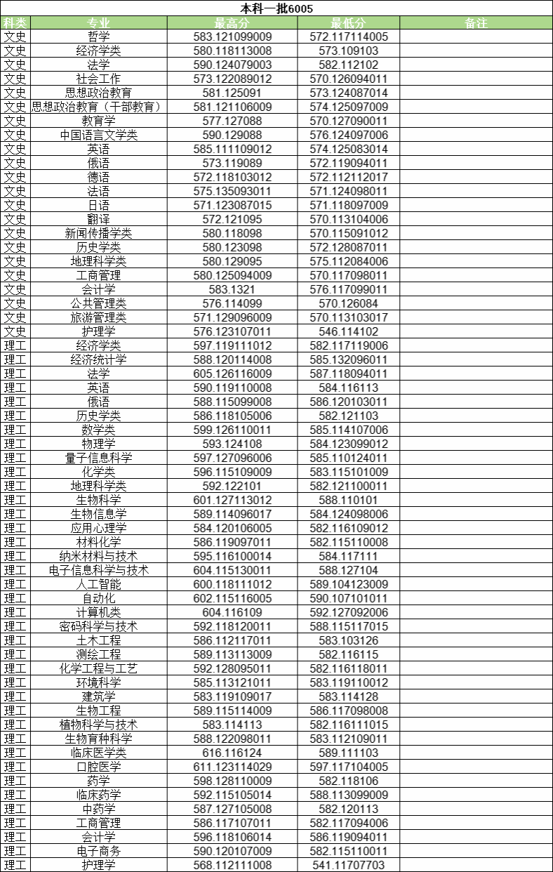
2024年河南省本科一批录取结果

中原工学院
截至7月23日17:00,录取工作具体情况如下:
河南(本科一批理工)

河南(本科一批软件)

郑州航空工业管理学院

南阳师范学院
2024年南阳师范学院河南省本科一批计划招生806人。现将录取分数线公布如下:

洛阳师范学院
7月21日,学校2024年河南省本科一批录取结束,计划数292人,录取数292人。
其中,汉语言文学计划数142人,录取142人,最高分555分,最低分534分(超过一本线13分);数学与应用数学计划数150人,录取150人,最高分547分,最低分524分(超过一本线13分)。
南阳理工学院

说明:根据河南省投档规则,总分相同时,按语文、数学、外语听力成绩依次排序投档。学校录取统计公布的最高分、最低分小数点后9位,即语文、数学、外语听力成绩;平均分为投档成绩平均分。
黄淮学院

河南工程学院
河南省本科一批(文史类)
计划招生65人,实际录取65人
![]()
河南省本科一批(理工类)
计划招生85人,实际录取85人
![]()
郑州大学





河南大学







河南理工大学






河南工业大学
截止到2024年7月22日,河南省本科一批高招录取工作圆满完成。具体数据如下:
理工普通类录取2316人,最高分580,最低分541,投档线高出一本线30分。理工单列类录取1868人,最高分586,最低分541,高出一本线30分。文史类录取418人,最高分563,最低分540,高出一本线19分。


河南财经政法大学
截止7月22日,河南本科一批普通类录取结束,录取结果可查询。其中,文史类计划1227人,录取1246人,最低548分;理工类计划1001人,录取1024人,最低536分。
河南本科一批省级特色化示范性软件学院(仅理科)录取结束,录取结果可查询。其中,计划225人,录取225人,最低532分。
河南本科一批单列专业录取尚未结束,目前显示投档状态的考生可查询拟录取专业。
河南本科一批少数民族预科班录取结束,录取结果可查询。其中,文史类计划15人,录取15人,最低517分;理工类计划15人,录取15人,最低508分。
华北水利水电大学

河南中医药大学
2024年河南省本科一批录取结果

中原工学院
截至7月23日17:00,录取工作具体情况如下:
河南(本科一批理工)

河南(本科一批软件)

郑州航空工业管理学院

南阳师范学院
2024年南阳师范学院河南省本科一批计划招生806人。现将录取分数线公布如下:

洛阳师范学院
7月21日,学校2024年河南省本科一批录取结束,计划数292人,录取数292人。
其中,汉语言文学计划数142人,录取142人,最高分555分,最低分534分(超过一本线13分);数学与应用数学计划数150人,录取150人,最高分547分,最低分524分(超过一本线13分)。
南阳理工学院

说明:根据河南省投档规则,总分相同时,按语文、数学、外语听力成绩依次排序投档。学校录取统计公布的最高分、最低分小数点后9位,即语文、数学、外语听力成绩;平均分为投档成绩平均分。
黄淮学院

河南工程学院
河南省本科一批(文史类)
计划招生65人,实际录取65人
![]()
河南省本科一批(理工类)
计划招生85人,实际录取85人
![]()