1.参加普通高校统一考试招生录取的考生(文化)总成绩是如何组成的?
答:根据我省《深化普通高等学校考试招生综合改革实施方案》(以下简称《实施方案》),考生(文化)总成绩由全国统一高考的语文、数学、外语3个科目成绩和考生选择的3门普通高中学业水平选择考科目成绩组成,满分为750分。其中,统一高考科目语文、数学使用原始成绩计入考生总成绩,每门满分150分;外语科目满分150分,其中听力部分30分、笔试部分120分,2025年、2026年仍延续现行计分办法(听力成绩暂不计入外语成绩,外语成绩以考生外语笔试成绩的1.25倍计入),从2027年起,听力成绩计入外语成绩总分。选择考中首选科目物理或历史使用原始成绩计入考生总成绩,每门满分100分;再选科目思想政治、地理、化学、生物学(从4门中选择2门)以等级转换分计入考生总成绩,每门满分100分。以上即通常所说的“3+1+2”模式。
2.为什么物理和历史按原始成绩计入考生总成绩?
答:我省《实施方案》确定,在录取时选考物理和选考历史的考生将分别排队录取。因此,选择物理(或历史)的考生将使用同一物理(或历史)试卷,考试群体相同,成绩具有可比性,可以使用原始分计入考生总成绩。
3.为什么思想政治、地理、化学、生物学科目考试成绩要实行等级赋分?
答:首选科目相同的考生,可以在思想政治、地理、化学、生物学科目中,根据个人兴趣特长和高校招生选考科目要求,选择不同选考科目计入高考总成绩。由于再选科目中不同学科试题难度差异和报考相应学科的考生群体不同,选考科目的原始分不具有可比性。如,考生甲选考思想政治,考生乙选考化学,两人都考了80分,考生甲排在所有选考思想政治考生的第100位,考生乙排在所有选考化学考生的第1000位。若简单将他们各科成绩相加计入高考总成绩并进行比较,既不科学也不公平。因此,需要将不同科目的原始分按照一定规则通过转换得到等级转换分(转换后考生选考科目成绩排队顺序不变),以解决选考科目的原始分不具有可比性的问题。
4.思想政治、地理、化学、生物学科目考试成绩的等级分是如何转换的?
答:等级分是按照统一规则,由原始成绩进行等级划定后,再按照“等比例转换办法”由等级转换而来的分数。第三批、第四批、第五批高考综合改革省份统一使用此等级转换办法。
思想政治、地理、化学、生物学科目每科原始分满分为 100 分。转换分以 30 分作为赋分起点,满分 100 分。具体转换办法:按照考生的原始分从高到低划分为 A、B、C、D、E 共 5 个等级,各等级人数所占比例分别约为 15%、35%、35%、13%和 2%。将 A 至 E 等级内的考生原始分,依照“等比例转换办法”,分别转换到 100~86、85~71、70~56、55~41 和 40~30 五个分数区间,得到考生的转换分。
(1)等级换算对应关系。各等级及其所占人数比例、等级分赋分区间对应关系如下表所示。

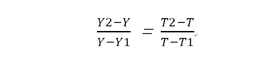
(2)等级分换算公式。等级转换的具体公式为:

其中:
Y1、Y2分别表示原始分区间的下限和上限;
T1、T2分别表示等级赋分区间的下限和上限;
Y表示考生的原始分;
T表示考生的等级分数。
根据公式,可以计算出每个考生的等级分数。
(3)转换示意图及示例。

假设某同学思想政治学科原始分为81分,而该学科B等级的原始分分布区间为82~61,则该同学思想政治学科的原始分属B等级,B等级的等级分分布区间为85~71,按照转换公式该同学思想政治学科的等级分为:

该同学思想政治学科等级分为:84分。
5.等级赋分优点是什么?
答:一是能够较好解决再选科目之间分数不等值、学生选考科目分数不能直接相加参加高校招生录取的问题;二是等级区间比例依据我省考生的实际状况划定,符合我省省情;三是能够保持考生每门学科成绩排名顺序不变,确保成绩转换的公平公正;四是能够最大限度保证考生的成绩具有良好的区分度,满足普通高校人才选拔需要。
1.参加普通高校统一考试招生录取的考生(文化)总成绩是如何组成的?
答:根据我省《深化普通高等学校考试招生综合改革实施方案》(以下简称《实施方案》),考生(文化)总成绩由全国统一高考的语文、数学、外语3个科目成绩和考生选择的3门普通高中学业水平选择考科目成绩组成,满分为750分。其中,统一高考科目语文、数学使用原始成绩计入考生总成绩,每门满分150分;外语科目满分150分,其中听力部分30分、笔试部分120分,2025年、2026年仍延续现行计分办法(听力成绩暂不计入外语成绩,外语成绩以考生外语笔试成绩的1.25倍计入),从2027年起,听力成绩计入外语成绩总分。选择考中首选科目物理或历史使用原始成绩计入考生总成绩,每门满分100分;再选科目思想政治、地理、化学、生物学(从4门中选择2门)以等级转换分计入考生总成绩,每门满分100分。以上即通常所说的“3+1+2”模式。
2.为什么物理和历史按原始成绩计入考生总成绩?
答:我省《实施方案》确定,在录取时选考物理和选考历史的考生将分别排队录取。因此,选择物理(或历史)的考生将使用同一物理(或历史)试卷,考试群体相同,成绩具有可比性,可以使用原始分计入考生总成绩。
3.为什么思想政治、地理、化学、生物学科目考试成绩要实行等级赋分?
答:首选科目相同的考生,可以在思想政治、地理、化学、生物学科目中,根据个人兴趣特长和高校招生选考科目要求,选择不同选考科目计入高考总成绩。由于再选科目中不同学科试题难度差异和报考相应学科的考生群体不同,选考科目的原始分不具有可比性。如,考生甲选考思想政治,考生乙选考化学,两人都考了80分,考生甲排在所有选考思想政治考生的第100位,考生乙排在所有选考化学考生的第1000位。若简单将他们各科成绩相加计入高考总成绩并进行比较,既不科学也不公平。因此,需要将不同科目的原始分按照一定规则通过转换得到等级转换分(转换后考生选考科目成绩排队顺序不变),以解决选考科目的原始分不具有可比性的问题。
4.思想政治、地理、化学、生物学科目考试成绩的等级分是如何转换的?
答:等级分是按照统一规则,由原始成绩进行等级划定后,再按照“等比例转换办法”由等级转换而来的分数。第三批、第四批、第五批高考综合改革省份统一使用此等级转换办法。
思想政治、地理、化学、生物学科目每科原始分满分为 100 分。转换分以 30 分作为赋分起点,满分 100 分。具体转换办法:按照考生的原始分从高到低划分为 A、B、C、D、E 共 5 个等级,各等级人数所占比例分别约为 15%、35%、35%、13%和 2%。将 A 至 E 等级内的考生原始分,依照“等比例转换办法”,分别转换到 100~86、85~71、70~56、55~41 和 40~30 五个分数区间,得到考生的转换分。
(1)等级换算对应关系。各等级及其所占人数比例、等级分赋分区间对应关系如下表所示。

(2)等级分换算公式。等级转换的具体公式为:

其中:
Y1、Y2分别表示原始分区间的下限和上限;
T1、T2分别表示等级赋分区间的下限和上限;
Y表示考生的原始分;
T表示考生的等级分数。
根据公式,可以计算出每个考生的等级分数。
(3)转换示意图及示例。

假设某同学思想政治学科原始分为81分,而该学科B等级的原始分分布区间为82~61,则该同学思想政治学科的原始分属B等级,B等级的等级分分布区间为85~71,按照转换公式该同学思想政治学科的等级分为:

该同学思想政治学科等级分为:84分。
5.等级赋分优点是什么?
答:一是能够较好解决再选科目之间分数不等值、学生选考科目分数不能直接相加参加高校招生录取的问题;二是等级区间比例依据我省考生的实际状况划定,符合我省省情;三是能够保持考生每门学科成绩排名顺序不变,确保成绩转换的公平公正;四是能够最大限度保证考生的成绩具有良好的区分度,满足普通高校人才选拔需要。